1. Ví dụ minh hoạ: Đọc, mô tả và biểu diễn biểu đồ quạt tròn
Ví dụ 1:
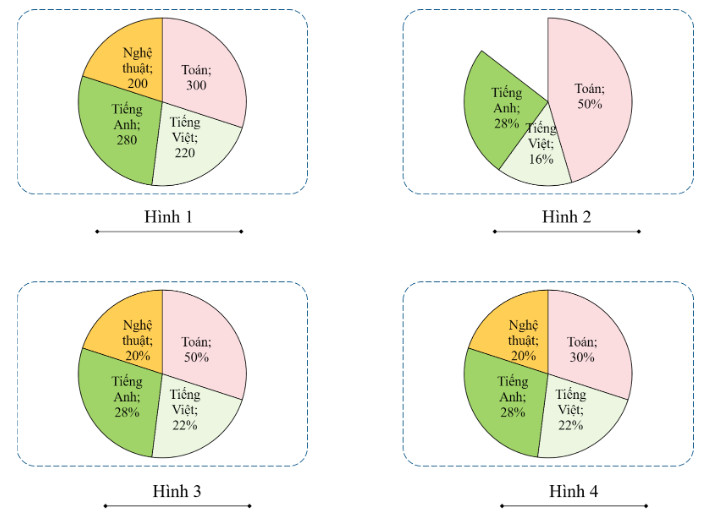
Trong các hình sau hình nào là biểu đồ hình quạt tròn đúng nhất?

Lời giải:
Biểu đồ hình quạt tròn:
+/ Là một hình tròn với các bán kính phân chia hình tròn đó thành các hình quạt tròn.
+/ Các phần hình quạt ghi tỉ số phần trăm tương ứng với tỉ số phần trăm của từng loại.
+/ Tổng các tỉ số là 100%
Biểu đổ hình quạt tròn đúng nhất là hình 4.
Ví dụ 2:
Trong các hình sau hình nào là biểu đồ hình quạt tròn?

Lời giải:
Biểu đồ hình quạt tròn:
+/ Là một hình tròn với các bán kính phân chia hình tròn đó thành các hình quạt tròn.
+/ Các phần hình quạt ghi tỉ số phần trăm tương ứng với tỉ số phần trăm của từng loại.
+/ Tổng các tỉ số là 100%
Biểu đổ hình quạt tròn là hình 2.
2. Luyện tập củng cố: Đọc, mô tả và biểu diễn biểu đồ quạt tròn
Học đi đôi với hành, luyện tập hàng ngày để trở nên thông thái
Luyện tập ngay